学校主页
导航
首页
必威app苹果下载
研究生院简介
机构设置
院领导
betway下载入口
博士招生
硕士招生
政策文件
batway必威登录
88必威官方网站
batway必威公司
58必威网站
batway必威88东盟体育
batway必威
学位管理
校学位评定委员会
学位授权点
88必威中国
优秀成果
相关规定
学生工作
学籍管理
相关规定
58必威
88必威
工程硕士专业学位基本要求
联合培养基地
58必威苹果
校企联培
工程硕博士专项
地方高等研究院专项
58必威网
科研院所联培专项
58必威外网
管理规定
betway下载入口
Betway必威平台登录入口
学位与导师
学生工作
专业学位
资料下载
betway下载入口
Betway必威平台登录入口
学位与导师
学生工作
专业学位
其他
信息公开
研究生招生情况
考试成绩
录取名单
学位评定委员会公告
其他
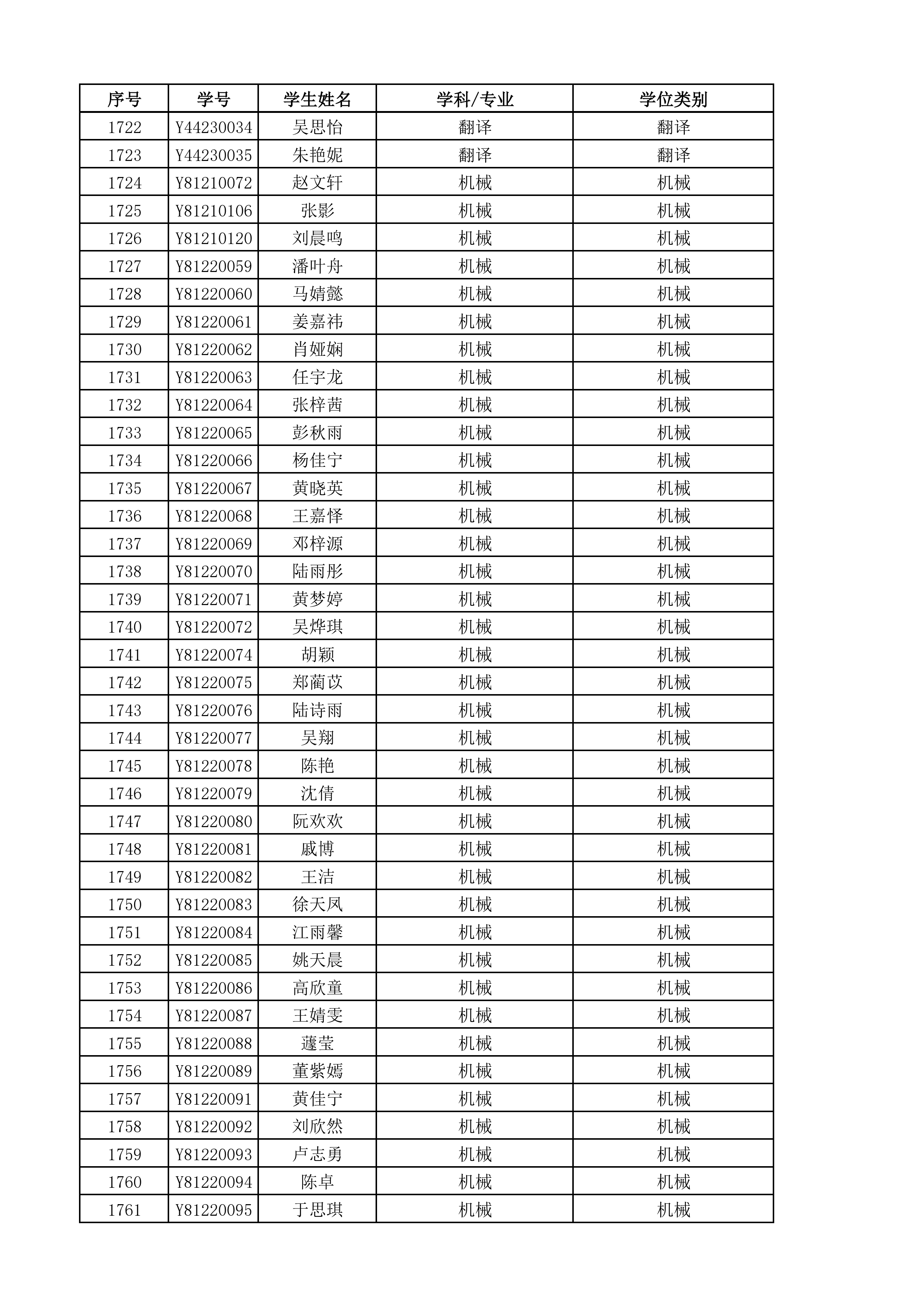
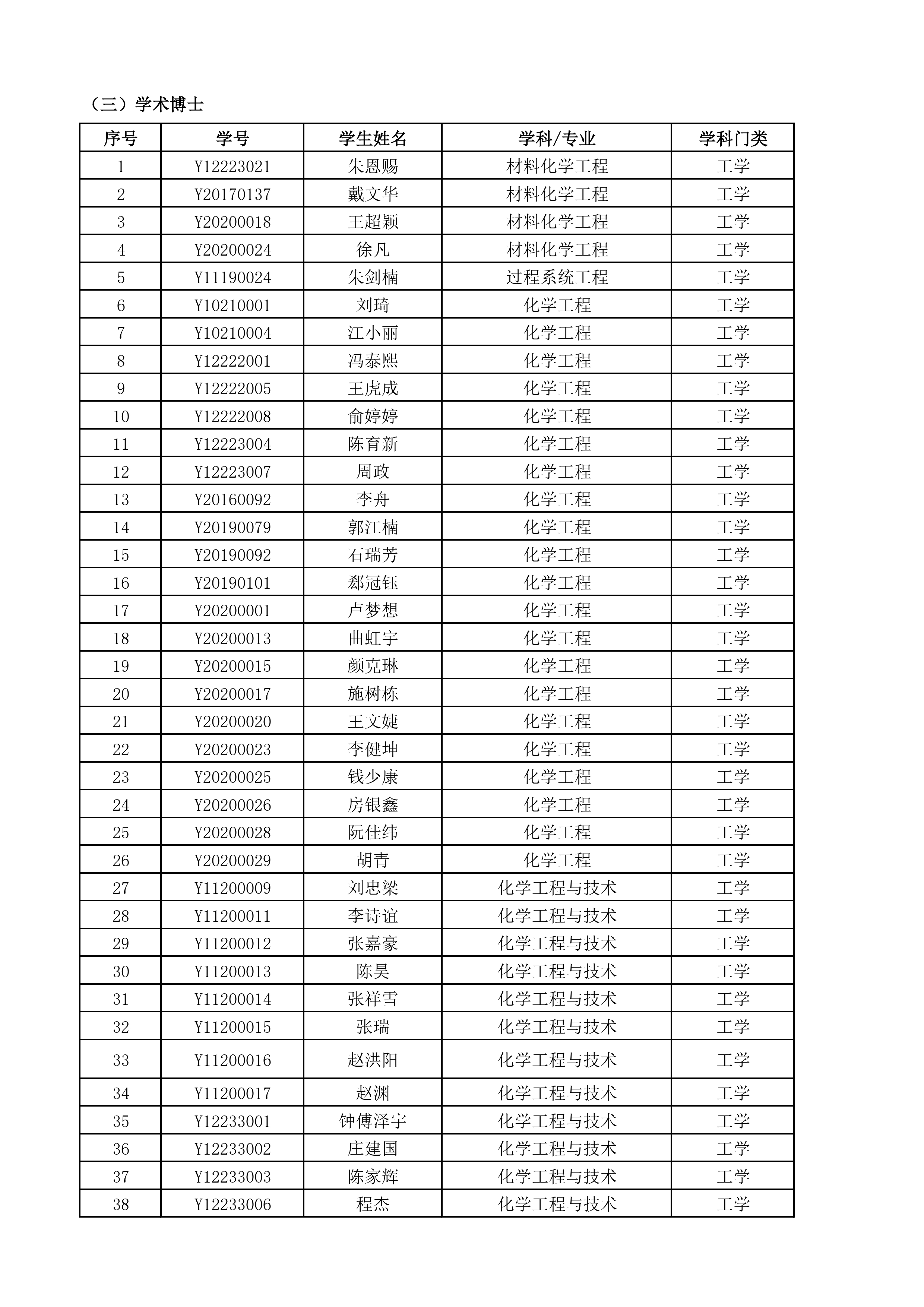
betway官方登陆关于2025年6月授予硕士、博士学位的决定
发布者:研究生院
发布时间:2025-07-07
浏览次数:
10
map